Battery Model for Shepherd
Basis
The model is based on the electrical model introduced in An Accurate Electrical Battery Model Capable of Predicting Runtime and I–V Performance.
The circuit diagram of the electrical model is shown here:

The model uses:
a capacitor (
C_capacity) to model theState of Charge(SoC)a controlled voltage source to model the relation of SoC to open-circuit voltage
a series resistor to model the current dependent voltage drop
two RC elements to model transient voltage effects
a resistor to model self-discharge (however, they later omit this, deeming it negligible)
The component values depend on the SoC through a set of equations:

These parameters model a specific battery and are provided by the authors.
Kinetic Battery Model
The electrical model described above was used as a basis for the more complex hybrid model introduced in A Hybrid Battery Model Capable of Capturing Dynamic Circuit Characteristics and Nonlinear Capacity Effects.
This model introduces the so called rate capacity effect which causes temporary changes in available capacity due to chemical effects that occur when a current is applied.
Since the corresponding formulas are rather complex, implementing them on the PRU is unfeasible.
However, the authors also parameterize their model and provide parameter values for both a Lithium-Polymer (PL-383562) and a Lead-Acid (LEOCH LP12-1.2AH) battery. A subset of these parameters can be used to configure the electrical model and extend the PRU implementation. Shepherd keeps the whole parameter-set for a future-proof basis were the models can be extended when the computing platform changes.
Experiments showed that a broad range of configurations can be covered by this model:
various capacitors (ideal, Tantal, MLCC inkluding Bias-Effect)
lithium batteries (LiPo, LiOn, LiFe)
lead acid
Modifications
For a more generalized virtual storage, the following extensions were implemented for KiBaM:
support the rate capacity effect and transients during charging (the original focuses only on discharge)
self discharge was added as it is relevant for capacitors
a 0 % SoC will let the voltage break down to 0
future extension: include DC-bias effect, see section below
Due to processing-constraints the following modifications are made implementing the model on the PRU:
the transient effects (e.g. the two RC elements, eq. 4 - 7) are omitted
the equations (2, 3) for the open-circuit voltage and series resistor are replaced by lookup-tables (LuTs) which are generated from the model equations ahead of time
future plan: the quantized output voltage (due to the 128-entry LuT) may be smoothed via interpolation
the capacitor is modeled discretely:
V_soc(t + dt) = V_soc(t) - (1 / C_capacity) * I_batt * dt
Comparison of Models
For qualifying the implementation a set of models was used to show differences in behavior:
KiBaMis the model presented in the mentioned paperKiBaMPluswas extended to support the rate capacity effect and transients during charging (the original focuses only on discharge). It also added self discharge via a parallel leakage resistorVirtualStorageis the stripped down PRU-Version (see Modifications listed above)ShpCapis the (now) legacy implementation of the energy storage for shepherd
These models are capable of receiving and simulating the same parameter-sets
LiPobattery with 10 mAh & 3.7 V nominal voltage~~
Lead Acidbattery with 10 mAh & 12 V nominal voltage (6 cells)~~an ideal
Capacitorwith 10 F (to be comparable) and a rated Voltage of 4.2 V
For each a set of experiments was constructed to display the individual behavior
a 20 Ohm resistive load
pulsed charging
~~pulsed discharging~~ (similar to resistive load)
~~self discharge~~
The python scripts can be found in shepherd_core/examples/simulations/vstorage.py.
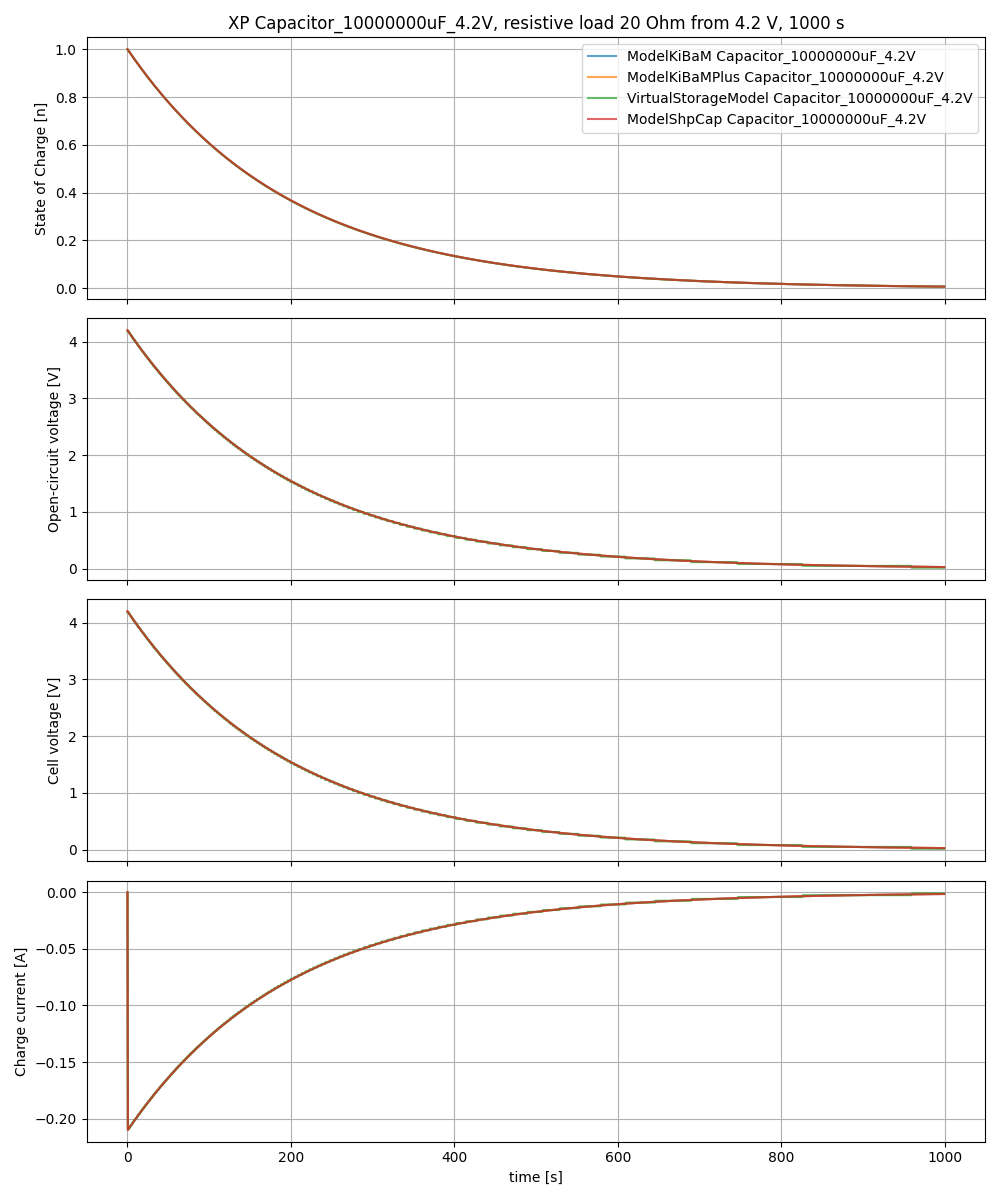
Resistive Load
Putting a 20 Ohm load on the capacitor shows no surprises - all 4 models match in behavior:

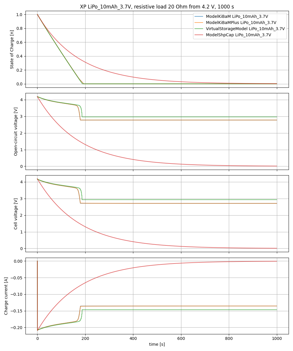
Differences start to show when looking at the LiPo battery:

The KiBaM-based models both match in behavior and show the voltage curve of a typical lithium battery.
Even the stripped PRU-model (VirtualStorage) is close by, but lacks the rate capacity effect and is therefore missing the voltage drop.
The old shepherd capacitor (ShpCap) was not designed to mimic a battery and misbehaves completely.
Pulsed Charging
Charging a capacitor with pulsed 100 mA is again covered by all 4 models:

Differences show again when looking at the LiPo:

While the old shepherd capacitor (ShpCap) was not designed to mimic a battery and can be ignored, the other models show interesting behaviors.
This time the simple KiBaM and the stripped PRU-Model (VirtualStorage) match, as both don’t support transients during charging.
Looking at the voltages a non-linear trend shows, typical for lithium batteries.
In addition KiBaMPlus handles the rate capacity effect during charging, which shows as voltage increase while current is flowing.
DC-Bias Effect
Some capacitors like MLCC-variants show a variable capacity, depending on the voltage they are used. Small packages with high capacity are particularly susceptible to this DC-bias effect. The datasheet of the JMK316ABJ107ML a 100 uF X5R MLCC with a rated voltage of 6.3 V show a capacity decrease of 80 % when run at the rated voltage.

In comparison to an ideal capacitor the charge- and discharge-curves differ substantially.
We were able to verify the datasheet for that specific capacitor by measuring both curves and plotting the datasheet data next to it (direct).
As an experiment the VirtualStorage PRU-Model (called BatteryModel in plot) was adapted to contain this effect in the SoC-LuT.
Note
TODO: WORK IN PROGRESS The DC-bias effect will be included in the near future. More measurements and research are needed to offer a parameter-set.
References
parameters for the config can be found as data-model in the core-tool
a fixture creation script and the fixtures itself are in the same directory
the virtual storage for the testbed is implemented in c and part of the PRU-firmware
the 1-to-1 simulation-models are part of the python vSource-implementation
simulation-experiments are kept in the examples-directory of the core-tool
performance analysis between python-models, c-code and actual are documented here